半導体技術者検定エレクトロニクス2級
「パワーエレクトロニクス」 サンプル問題
「設計と製造」、「応用と品質」 のサンプル問題も参考としてください。
問題1:パワーMOSFETの特性オン抵抗Ron,spの単位に関し、以下の中から正しいものを選びなさい。
- 1. Ωcm
- 2. Ω/cm
- 3. Ωcm2(正解)
- 4. Ω/cm2
| 1 |
Ωcm |
| 2 |
Ω/cm |
3 (正解) |
Ωcm2 |
| 4 |
Omega;/cm2 |
解説
特性オン抵抗は、パワーMOSFETのレイアウト上面から見た単位面積当たりの抵抗です。
パワーMOSFETセルを配列した簡略図(縦型構造)を下に示します。
ここでは、単位面積として1cm2を取ります。パワーMOSFETのセル面積をA (cm2) とすると、単位面積内に1/A個のパワーMOSFETセルが存在します。パワーMOSFETがオン時のセル当たりの抵抗をRon (Ω) とすると、単位面積当たりでは、1/A個のセルが並列接続されることになりますから、単位面積当たりのオン抵抗、すなわちRon,spは、Ronを1/Aで割ってRon・Aになります。したがって、その場合の単位は、Ωcm2になり、正解は 3 です。
問題2:NチャネルMOSFETのしきい値電圧に関し、以下の中で誤ったものを選びなさい。
- 1. 外挿しきい値電圧VTHextは、表面電位がフェルミ電位の2倍になるところのしきい値電圧VTHより高い。
- 2. 界面の固定電荷密度が増えるとしきい値電圧は上昇する。(正解)
- 3. 強反転状態でゲート下の界面から基板中に広がっている空乏層深さより深い領域において
基板不純物濃度を上昇させても、しきい値電圧は変わらない。
- 4. ゲート電極をN+ポリシリコンからP+ポリシリコンに変えるとしきい値電圧は上昇する。
| 1 |
外挿しきい値電圧VTHextは、表面電位がフェルミ電位の2倍になるところのしきい値電圧VTHより高い。 |
2 (正解) |
界面の固定電荷密度が増えるとしきい値電圧は上昇する。 |
| 3 |
強反転状態でゲート下の界面から基板中に広がっている空乏層深さより深い領域において 基板不純物濃度を上昇させても、しきい値電圧は変わらない。 |
| 4 |
ゲート電極をN+ポリシリコンからP+ポリシリコンに変えるとしきい値電圧は上昇する。 |
解説
1. VTHは、反転層電荷密度が基板不純物濃度と等しくなるところのVGSで、これが強反転の開始点になります。VTHextの箇所では、強反転の度合いがそれよりもっと強くなっており、VTHextはVTHより高くなります。したがって、1 は正しいので正解ではありません。
2. 界面の固定電荷の極性は正であるため、この固定電荷により基板には負の電荷が誘起されます。これにより固定電荷密度が増えるとしきい値電圧は低下します。したがって、2 は誤っているので正解です。
3. しきい値電圧は、ゲート下の界面から半導体基板中に広がる空乏層内の電荷の影響を受けます。つまり、この領域内で基板不純物濃度が変われば、しきい値電圧は変化しますが、その領域外でそれが変わっても、しきい値電圧は影響を受けません。したがって、3 は正しいので正解ではありません。
4. ゲートがN+ポリシリコンからP+ポリシリコンに変わると、材料の仕事関数差によりフラットバンド電圧が約1.1V上昇します。これに伴いしきい値電圧は上昇します。したがって、4 は正しいので正解ではありません。
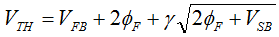
なお、しきい値電圧VTHを表す式は以下になります。(但し、基板不純物濃度が均一の場合)

ここで、VFBはフラットバンド電圧、φFは基板のフェルミ電位、γは基板バイアス係数、VSBはソース-基板間電圧です。
VFBは以下の式になります。

ここで、φMSは仕事関数差による電位差(ゲート‐基板間)、φF,gateはゲートのフェルミ電位、φFは基板のフェルミ電位、COXは単位面積当たりのゲート酸化膜容量、εOXはゲート酸化膜の誘電率、tOXはゲート酸化膜厚、QOは界面の固定電荷密度です。
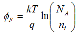
φFは以下の式になります。

ここで、kはボルツマン定数、Tは絶対温度、qは素電荷量、NAは基板のP型不純物濃度、niは真性キャリア密度です。
γは以下の式になります。

ここで、εSは基板半導体の誘電率です。
問題3:次の文章の空欄( )に入る正しい言葉の組み合わせを1~4の中から選びなさい。
対称型(ノンパンチスルー)Nch-IGBTでは、オン時にN-ベース領域へキャリアの( ア )により、( イ )が発生し、オン状態の電圧は低下します。( イ )が発生している状態では、電子密度nと正孔密度pとは( ウ )の関係があります。また、キャリアのライフタイムが( エ )ほど、オン状態の電圧は低下します。
- 1. ア:高レベル注入イ:伝導度変調ウ:n=pエ:長い(正解)
- 2. ア:低レベル注入イ:伝導度変調ウ:n<pエ:短い
- 3. ア:高レベル注入イ:移動度変調ウ:n<pエ:長い
- 4. ア:低レベル注入イ:移動度変調ウ:n=pエ:短い
1 (正解) |
- ア:高レベル注入
- イ:伝導度変調
- ウ:n=p
- エ:長い
|
| 2 |
- ア:低レベル注入
- イ:伝導度変調
- ウ:n<p
- エ:短い
|
| 3 |
- ア:高レベル注入
- イ:移動度変調
- ウ:n<p
- エ:長い
|
| 4 |
- ア:低レベル注入
- イ:移動度変調
- ウ:n=p
- エ:短い
|
解説
対称型(ノンパンチスルー)N-ch IGBTの断面図を図1に示します。
-
図1 対称型Nch-IGBT断面図
J1: P+コレクタとN-ベースの接合
-
図2 対称型Nch-IGBTのN-ベース領域内の正孔密度分布の高レベル注入ライフタイムTHL依存性(1200V耐圧)
ND: 平衡状態のN-ベース領域内の電子密度
図1 対称型Nch-IGBT断面図
J1: P+コレクタとN-ベースの接合
図2 対称型Nch-IGBTのN-ベース領域内の正孔密度分布の高レベル注入ライフタイムTHL依存性(1200V耐圧)
ND: 平衡状態のN-ベース領域内の電子密度
ゲートに電圧が印加されオン状態になると、エミッタからMOSFETを介してN-ベース領域に電子が注入されます。このベース電流により、コレクタのP+領域からN-ベース領域へ正孔が注入されます。(IGBTのコレクタは、PNPトランジスタ単体の動作で考えると、エミッタにあたります。)この正孔密度はN-ベース領域の平衡状態の電子密度より高くなり、高レベル注入が起こります。例えば、1200V耐圧レベルのIGBTの場合、N-ベース領域の平衡状態の電子密度は5×1013cm-3程度ですが、ベース電流注入時にコレクタから注入される正孔密度は1×1017cm-3程度になります(図2を参照して下さい)。高レベル注入が起こるとN-ベース領域で中性状態を保つようになるため、この領域で正孔密度と電子密度が等しくなります。このように電子と正孔が共に高密度になるため、N-ベース領域では伝導度が上昇し、伝導度変調が起こります。そして、非常に低いオン状態の電圧降下が得られます。
また、これらのキャリアのライフタイムは、高レベル注入下で決まる値になります。仮に高レベル注入ライフタイムτHLが長いと、キャリアの拡散長が長くなります。コレクタから注入される正孔密度の分布は、エミッタに向かってN-ベース領域内で低下し、エミッタに到達するとゼロになります(図2を参照して下さい)。拡散長が長いと、この分布がN-ベース領域全体に渡って高くなっていきます。したがって、τHLが長いほどN-ベース領域内のキャリア密度が増加しますから伝導度が上昇し、オン状態の電圧降下は低下します。
問題4:下記は非絶縁形DC-DCコンバータの基本回路です。これらの形名について、正しい組み合わせを1~4の中から選びなさい。
- 1. ア:昇圧形コンバータイ:昇降圧形コンバータウ:降圧形コンバータ
- 2. ア:昇降圧形コンバータイ:降圧形コンバータウ:昇圧形コンバータ
- 3. ア:降圧形コンバータイ:昇圧形コンバータウ:昇降圧形コンバータ(正解)
- 4. ア:昇圧形コンバータイ:降圧形コンバータウ:昇降圧形コンバータ
| 1 |
- ア:昇圧形コンバータ
- イ:昇降圧形コンバータ
- ウ:降圧形コンバータ
|
| 2 |
- ア:昇降圧形コンバータ
- イ:降圧形コンバータ
- ウ:昇圧形コンバータ
|
3 (正解) |
- ア:降圧形コンバータ
- イ:昇圧形コンバータ
- ウ:昇降圧形コンバータ
|
| 4 |
- ア:昇圧形コンバータ
- イ:降圧形コンバータ
- ウ:昇降圧形コンバータ
|
問題5:次の文章の空欄( )に入る正しい言葉の組み合わせを1~4の中から選びなさい。
ある一定の逆バイアスでのPN接合リーク電流において、空乏層の伸び幅が比較的広い素子で生ずるリーク電流は( ア )リーク電流、狭い素子で生ずるリーク電流は( イ )リーク電流と考えられる。パワーデバイスのベース層は一般に( ウ )であるため、逆バイアス時のリーク電流は( ア )が主であり、リーク電流は接合部の( エ )に左右される。
- 1. ア:Zenerイ:Avalancheウ:低不純物濃度エ:温度
- 2. ア:Avalanche イ:Zenerウ:高不純物濃度エ:濃度勾配
- 3. ア:Avalancheイ:Zenerウ:低不純物濃度エ:温度(正解)
- 4. ア:Zenerイ:Avalancheウ:高不純物濃度エ:濃度勾配
| 1 |
- ア:Zener
- イ:Avalanche
- ウ:低不純物濃度
- エ:温度
|
| 2 |
- ア:Avalanche
- イ:Zener
- ウ:高不純物濃度
- エ:濃度勾配
|
3 (正解) |
- ア:Avalanche
- イ:Zener
- ウ:低不純物濃度
- エ:温度
|
| 4 |
- ア:Zener
- イ:Avalanche
- ウ:高不純物濃度
- エ:濃度勾配
|
解説
PN接合の臨界電界強度(Ecrit)は、電子のなだれ増倍現象(Avalanche)で決まる場合とトンネル現象(Zener)で決まる場合とがあり、臨界電界強度を越えるとそれぞれAvalanche リーク電流、Zenerリーク電流となって現れる。前者は基板濃度が比較的低い領域で起こる。また、ブレークダウン電圧(BV)は基板濃度が低いほど高くなるので、パワーデバイスでは低濃度基板が用いられる。なだれ増倍現象(Avalanche)は温度が高くなればそれだけ起こりやすくなるので(~ exp(-Eg/kT) )、パワーデバイスの接合温度上昇を極力抑えるための低損失化と放熱設計が重要になる。
- は(ア)と(イ)が逆なので不正解
- はパワーデバイスのベース層は高耐圧化のために低不純物濃度であること、リーク電流の増大は接合温度に大きく依存することから不正解
- は正解
- は(ア)と(イ)が逆であること、(ウ)は低不純物濃度であること、リーク電流の増大は接合温度に大きく依存することから不正解
問題6:次の文章の空欄( )に入る正しい言葉の組み合わせを1~4の中から選びなさい。
パワーサイクル試験には、1サイクルの短いショートパワーサイクル試験と1サイクルの長いロングパワーサイクル試験があります。ショートパワーサイクル試験では、( ア )の変化量が大きく、( イ )の変化量は小さいため、主に( ウ )で破壊を生じます。ロングパワーサイクル試験では、( ア )と( イ )の変化量ともに大きいため、主に( エ )で破壊を生じます。

チップモジュール破壊箇所の簡略図
- 1. ア:Tjイ:Tcウ:ワイヤー接合部エ:絶縁基板とベース板のハンダ接合部(正解)
- 2. ア:Tcイ:Tjウ:絶縁基板とベース板のハンダ接合部エ:ワイヤ―接合部
- 3. ア:Tjイ:Tcウ:絶縁基板とベース板のハンダ接合部エ:ワイヤ―接合部
- 4. ア:Tcイ:Tjウ:ワイヤ―接合部エ:絶縁基板とベース板のハンダ接合部
1 (正解) |
- ア:Tj
- イ:Tc
- ウ:ワイヤー接合部
- エ:絶縁基板とベース板のハンダ接合部
|
| 2 |
- ア:Tc
- イ:Tj
- ウ:絶縁基板とベース板のハンダ接合部
- エ:ワイヤ―接合部
|
| 3 |
- ア:Tj
- イ:Tc
- ウ:絶縁基板とベース板のハンダ接合部
- エ:ワイヤ―接合部
|
| 4 |
- ア:Tc
- イ:Tj
- ウ:ワイヤ―接合部
- エ:絶縁基板とベース板のハンダ接合部
|
Tj接合温度、TCケース温度
問題7:下図は半導体素子の製造に用いられる主な基板ウエハの断面構造を模式図で示したものである。作り込む素子に適当な基板ウエハについて、正しい組み合わせを1~4の中から選びなさい。
- 1. ア:LDMOSイ:MOS-LSIウ:PT型IGBTエ:NPT型IGBT
- 2. ア:NPT型IGBT イ:LDMOSウ:PT型IGBTエ:MOS-LSI(正解)
- 3. ア:パワーMOS イ:LDMOSウ:NPT型IGBTエ:MOS-LSI
- 4. ア:MOS-LSI イ:パワーMOSウ:PT型IGBTエ:NPT型IGBT
| 1 |
- ア:LDMOS
- イ:MOS-LSI
- ウ:PT型IGBT
- エ:NPT型IGBT
|
2 (正解) |
- ア:NPT型IGBT
- イ:LDMOS
- ウ:PT型IGBT
- エ:MOS-LSI
|
| 3 |
- ア:パワーMOS
- イ:LDMOS
- ウ:NPT型IGBT
- エ:MOS-LSI
|
| 4 |
- ア:MOS-LSI
- イ:パワーMOS
- ウ:PT型IGBT
- エ:NPT型IGBT
|
解説
通常のMOS-LSIではCZ(Czochralski)法を用いた基板が使用されるが、パワーデバイス(パワーMOS、IGBT、LDMOSなど)の基板ウエハはFZ(Floatinng Zone)法やEpitaxial法を用いたものが一般的である。空乏層がコレクタ層に到達しない構造をノンパンチスルー(NPT)型、到達する構造をパンチスルー(PT)型と呼ばれている。パワーMOSはユニポーラ型デバイスのためドリフト層とコレクタ層が同じ導電型、IGBTはバイポーラ型デバイスのためドリフト層とコレクタ層が反対の導電型である。
- はパワーデバイスのNPT型IGBT(エ)に対してCZ基板(図4)を用いているので不正解
- は正解
- はNPT型IGBT(ウ)に対してパンチスルーするN+epitaxial層を介在させた基板(図3)を用いているので不正解
- はパワーMOS(イ)に対してバイポーラ型構造の基板(図2)を用いていること、さらにはパワーデバイスのNPT型IGBT(エ)に対してCZ基板(図4)を用いていることから不正解
問題8:ショットキー・バリア・ダイオードの特性に関し、以下の中から正しいものを選びなさい。
- 1. ショットキー・バリア・ダイオードは、PN接合と同じバイポーラ・デバイスである。
- 2. ショットキー・バリアを横切る順方向の電圧降下は、温度の上昇と共に上昇する。
- 3. ショットキー・バリアを横切る主電流成分はトンネル電流である。
- 4. ショットキー・バリア・ダイオードの熱暴走は、逆バイアス印加(オフ)時のリーク電流に起因する。(正解)
| 1 |
ショットキー・バリア・ダイオードは、PN接合と同じバイポーラ・デバイスである。 |
| 2 |
ショットキー・バリアを横切る順方向の電圧降下は、温度の上昇と共に上昇する。 |
| 3 |
ショットキー・バリアを横切る主電流成分はトンネル電流である。 |
4 (正解) |
ショットキー・バリア・ダイオードの熱暴走は、逆バイアス印加(オフ)時のリーク電流に起因する。 |
問題9:次の文章の空欄( )に入る正しい言葉の組み合わせを1~4の中から選びなさい。
パワーデバイスは高耐圧、大電流を流すデバイスである。信頼性試験等により、統計的に品質を保証する必要があるが、そのうち、加速試験においては、( ア )が有効であり、寿命予測のデータを取得することが可能である。一方、( イ )を収集し、予測結果との合致を確認することが必要である。IGBTモジュールの例では( ウ )の信頼性や( エ )の推定に有効である。
- 1. ア:パワーサイクルイ:限界試験データウ:チップエ:故障モード
- 2. ア:ヒートサイクルイ:限界試験データウ:接合部位エ:故障率
- 3. ア:ヒートサイクルイ:フィールドデータウ:チップエ:故障率
- 4. ア:パワーサイクルイ:フィールドデータウ:接合部位エ:故障モード(正解)
| 1 |
- ア:パワーサイクル
- イ:限界試験データ
- ウ:チップ
- エ:故障モード
|
| 2 |
- ア:ヒートサイクル
- イ:限界試験データ
- ウ:接合部位
- エ:故障率
|
| 3 |
- ア:ヒートサイクル
- イ:フィールドデータ
- ウ:チップ
- エ:故障率
|
4 (正解) |
- ア:パワーサイクル
- イ:フィールドデータ
- ウ:接合部位
- エ:故障モード
|